Где во дворах Советского района в 2022 г. планируется текущий ремонт асфальтобетонного покрытия (список)
    	  		
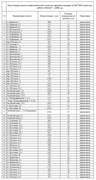
ЖКХ Советского района столицы опубликовало план текущего ремонта асфальтобетонного покрытия дворовых проездов, сообщает корреспондент агентства «Минск-Новости» со ссылкой на сайт предприятия.

Ремонт планируется провести в период с апреля по июнь по 344 адресам, где в совокупности будут отремонтированы 21 тыс. кв. м.
Смотрите также:
Источник: minsknews.by
 
											
Комментарии закрыты.